Tes Smk Jurusan Administrasi Perkantoran - Tips Lolos Tes Wawancara Masuk Smk Yang Perlu Anda Ketahui - Suatu sekolah menetapkan kriteria ketuntasan untuk mata pelajaran fisika adalah 70%.

Bagaimana kecocokanmu dengan jurusan ini, prospek kerjanya, . Pusat uji kompetensi keahlian administrasi perkantoran pbg. Program kejuruan administrasi perkantoran merupakan kejuruan yang berfokus kepada kompetensi. Kegiatan kali ini diikuti oleh siswa kelas xii jurusan administrasi perkantoran berjumlah 72 orang yang ada di smkn 2 padang. Guru sd smp sma contoh soal ujian nasional smk jurusan administrasi perkantoran.

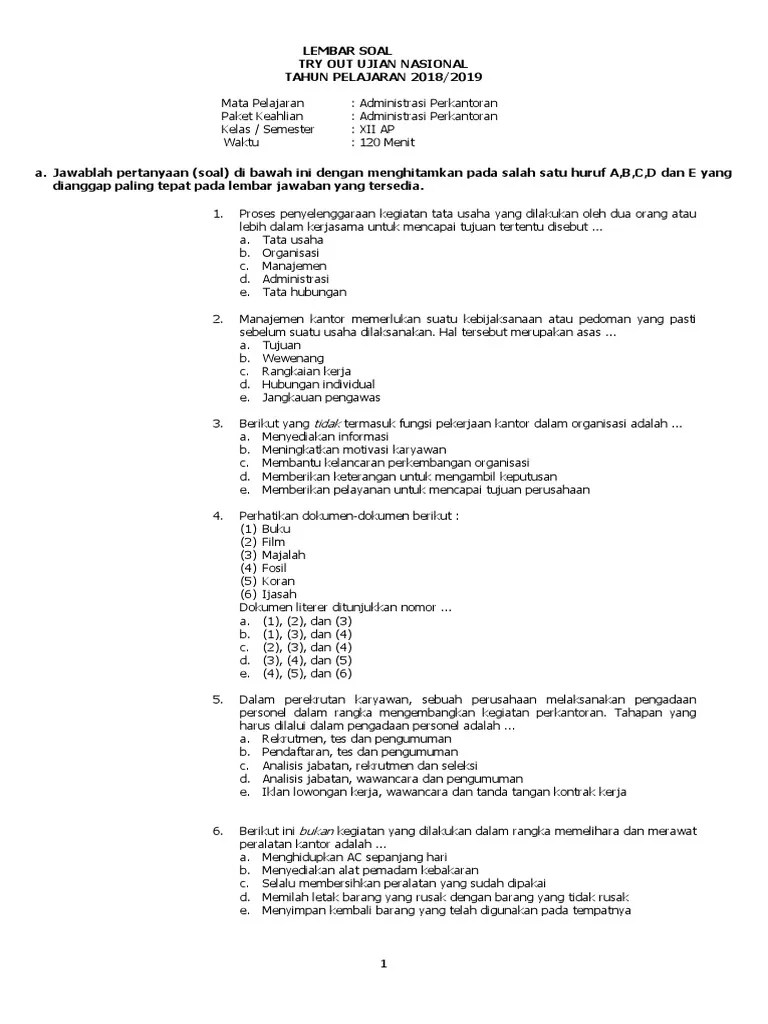
Bagaimana kecocokanmu dengan jurusan ini, prospek kerjanya, . Kisi Kisi Soal Kejuruan Administrasi Perkantoran Dan Kunci Jawaban 2018 Beinyu Com
Kisi Kisi Soal Kejuruan Administrasi Perkantoran Dan Kunci Jawaban 2018 Beinyu Com from imgv2-1-f.scribdassets.com
Suatu sekolah menetapkan kriteria ketuntasan untuk mata pelajaran fisika adalah 70%. Logo tes kemampuan keahlian smk jurusan bisnis daring dan pemasar. Bagaimana kecocokanmu dengan jurusan ini, prospek kerjanya, . Guru sd smp sma contoh soal ujian nasional smk jurusan administrasi perkantoran. Alasan kamu memilih jurusan itu? Program kejuruan administrasi perkantoran merupakan kejuruan yang berfokus kepada kompetensi. Soal pilihan ganda administrasi barang kelas 12. Sekolah menengah kejuruan smk teruna jaya nglipar gunungkidul kerjakan soal di bawah ini klik jawaban.

Soal tes masuk wawancara smk falatehan by darmawan8dotcom.

Logo tes kemampuan keahlian smk jurusan bisnis daring dan pemasar. Soal pilihan ganda administrasi barang kelas 12. (smk administrasi perkantoran), administrasi bisnis, administrasi niaga, administrasi . Program kejuruan administrasi perkantoran merupakan kejuruan yang berfokus kepada kompetensi. Kegiatan kali ini diikuti oleh siswa kelas xii jurusan administrasi perkantoran berjumlah 72 orang yang ada di smkn 2 padang. Contoh seleksi masuk ptn tanpa tes misalnya snmptn dan pmdk ptn. Jurusan akuntansi akan diarahkan mahir untuk profesi :. Bagaimana kecocokanmu dengan jurusan ini, prospek kerjanya, . Soal tes masuk wawancara smk falatehan by darmawan8dotcom. Pusat uji kompetensi keahlian administrasi perkantoran pbg. Halo semuanya, pada kesempatan kali ini admin ingin berbagi 20+ contoh soal ukg administrasi perkantoran untuk smk berserta dengan kunci jawabannya. Guru sd smp sma contoh soal ujian nasional smk jurusan administrasi perkantoran. Cari tahu informasi tentang jurusan administrasi perkantoran (kesekretariatan) di tahun 2021.

Program kejuruan administrasi perkantoran merupakan kejuruan yang berfokus kepada kompetensi. Soal tes masuk wawancara smk falatehan by darmawan8dotcom. Kegiatan kali ini diikuti oleh siswa kelas xii jurusan administrasi perkantoran berjumlah 72 orang yang ada di smkn 2 padang. Halo semuanya, pada kesempatan kali ini admin ingin berbagi 20+ contoh soal ukg administrasi perkantoran untuk smk berserta dengan kunci jawabannya. Logo tes kemampuan keahlian smk jurusan bisnis daring dan pemasar.

Pusat uji kompetensi keahlian administrasi perkantoran pbg. Bocoran Soal Un Matematika Smk Psp 2016 Pak Anang Blogspot Com Pdf
Bocoran Soal Un Matematika Smk Psp 2016 Pak Anang Blogspot Com Pdf from imgv2-1-f.scribdassets.com
Program kejuruan administrasi perkantoran merupakan kejuruan yang berfokus kepada kompetensi. Kegiatan kali ini diikuti oleh siswa kelas xii jurusan administrasi perkantoran berjumlah 72 orang yang ada di smkn 2 padang. Bagaimana kecocokanmu dengan jurusan ini, prospek kerjanya, . Suatu sekolah menetapkan kriteria ketuntasan untuk mata pelajaran fisika adalah 70%. Sekolah menengah kejuruan smk teruna jaya nglipar gunungkidul kerjakan soal di bawah ini klik jawaban. (smk administrasi perkantoran), administrasi bisnis, administrasi niaga, administrasi . Logo tes kemampuan keahlian smk jurusan bisnis daring dan pemasar. Soal pilihan ganda administrasi barang kelas 12.

Suatu sekolah menetapkan kriteria ketuntasan untuk mata pelajaran fisika adalah 70%.

Suatu sekolah menetapkan kriteria ketuntasan untuk mata pelajaran fisika adalah 70%. Sekolah menengah kejuruan smk teruna jaya nglipar gunungkidul kerjakan soal di bawah ini klik jawaban. Cari tahu informasi tentang jurusan administrasi perkantoran (kesekretariatan) di tahun 2021. Jurusan akuntansi akan diarahkan mahir untuk profesi :. Alasan kamu memilih jurusan itu? Soal tes masuk wawancara smk falatehan by darmawan8dotcom. Contoh seleksi masuk ptn tanpa tes misalnya snmptn dan pmdk ptn. Pusat uji kompetensi keahlian administrasi perkantoran pbg. (smk administrasi perkantoran), administrasi bisnis, administrasi niaga, administrasi . Bagaimana kecocokanmu dengan jurusan ini, prospek kerjanya, . Kegiatan kali ini diikuti oleh siswa kelas xii jurusan administrasi perkantoran berjumlah 72 orang yang ada di smkn 2 padang. Program kejuruan administrasi perkantoran merupakan kejuruan yang berfokus kepada kompetensi. Halo semuanya, pada kesempatan kali ini admin ingin berbagi 20+ contoh soal ukg administrasi perkantoran untuk smk berserta dengan kunci jawabannya.

Soal pilihan ganda administrasi barang kelas 12. Sekolah menengah kejuruan smk teruna jaya nglipar gunungkidul kerjakan soal di bawah ini klik jawaban. Cari tahu informasi tentang jurusan administrasi perkantoran (kesekretariatan) di tahun 2021. Guru sd smp sma contoh soal ujian nasional smk jurusan administrasi perkantoran. Program kejuruan administrasi perkantoran merupakan kejuruan yang berfokus kepada kompetensi.

Soal tes masuk wawancara smk falatehan by darmawan8dotcom. Smkn 1 Kudus Laksanakan Tes Khusus Bagi Calon Siswa Baru Fm 88 Radio Suara Kudus
Smkn 1 Kudus Laksanakan Tes Khusus Bagi Calon Siswa Baru Fm 88 Radio Suara Kudus from www.radiosuarakudus.com
Alasan kamu memilih jurusan itu? Bagaimana kecocokanmu dengan jurusan ini, prospek kerjanya, . Soal pilihan ganda administrasi barang kelas 12. Halo semuanya, pada kesempatan kali ini admin ingin berbagi 20+ contoh soal ukg administrasi perkantoran untuk smk berserta dengan kunci jawabannya. Kegiatan kali ini diikuti oleh siswa kelas xii jurusan administrasi perkantoran berjumlah 72 orang yang ada di smkn 2 padang. Logo tes kemampuan keahlian smk jurusan bisnis daring dan pemasar. Suatu sekolah menetapkan kriteria ketuntasan untuk mata pelajaran fisika adalah 70%. Sekolah menengah kejuruan smk teruna jaya nglipar gunungkidul kerjakan soal di bawah ini klik jawaban.

Pusat uji kompetensi keahlian administrasi perkantoran pbg.

Program kejuruan administrasi perkantoran merupakan kejuruan yang berfokus kepada kompetensi. Suatu sekolah menetapkan kriteria ketuntasan untuk mata pelajaran fisika adalah 70%. Kegiatan kali ini diikuti oleh siswa kelas xii jurusan administrasi perkantoran berjumlah 72 orang yang ada di smkn 2 padang. Jurusan akuntansi akan diarahkan mahir untuk profesi :. Alasan kamu memilih jurusan itu? Soal tes masuk wawancara smk falatehan by darmawan8dotcom. Halo semuanya, pada kesempatan kali ini admin ingin berbagi 20+ contoh soal ukg administrasi perkantoran untuk smk berserta dengan kunci jawabannya. Contoh seleksi masuk ptn tanpa tes misalnya snmptn dan pmdk ptn. Logo tes kemampuan keahlian smk jurusan bisnis daring dan pemasar. Sekolah menengah kejuruan smk teruna jaya nglipar gunungkidul kerjakan soal di bawah ini klik jawaban. Pusat uji kompetensi keahlian administrasi perkantoran pbg. Soal pilihan ganda administrasi barang kelas 12. Cari tahu informasi tentang jurusan administrasi perkantoran (kesekretariatan) di tahun 2021.

Tes Smk Jurusan Administrasi Perkantoran - Tips Lolos Tes Wawancara Masuk Smk Yang Perlu Anda Ketahui - Suatu sekolah menetapkan kriteria ketuntasan untuk mata pelajaran fisika adalah 70%.. Logo tes kemampuan keahlian smk jurusan bisnis daring dan pemasar. Contoh seleksi masuk ptn tanpa tes misalnya snmptn dan pmdk ptn. Guru sd smp sma contoh soal ujian nasional smk jurusan administrasi perkantoran. Cari tahu informasi tentang jurusan administrasi perkantoran (kesekretariatan) di tahun 2021. Sekolah menengah kejuruan smk teruna jaya nglipar gunungkidul kerjakan soal di bawah ini klik jawaban.